º£Æü¡¢¤³¤ó¤ÊÌäÂ꤬̤²ò·è¤Ç¤¢¤ë¤³¤È¤òÃΤê¤Þ¤·¤¿¡£
ʬ³äÌäÂê------------------------------------------------------------
¡¡¡Ö£µ¡×¤ò¼«Á³¿ô¤ÎϤÇɽ¤¹¤³¤È¤ò¹Í¤¨¤ë¤È¡¢
¡¡¡¡¡¡£µ¡á£±¡Ü£±¡Ü£±¡Ü£±¡Ü£±
¡¡¡¡¡¡£µ¡á£²¡Ü£²¡Ü£±
¡¡¡¡¡¡£µ¡á£²¡Ü£±¡Ü£±¡Ü£±
¡¡¡¡¡¡£µ¡á£³¡Ü£²
¡¡¡¡¡¡£µ¡á£³¡Ü£±¡Ü£±
¡¡¡¡¡¡£µ¡á£´¡Ü£±
¡¡¡¡¡¡£µ¡á£µ
¡¡¤Î¡¢£·Ä̤ꤢ¤ê¤Þ¤¹¡£
¡¡¡ÊÏÂ¤Î½ç½ø¤Ï¹Íθ¤·¤Ê¤¤¤³¤È¤È¤·¤Þ¤¹¡Ë
¡¡¤³¤Î¤è¤¦¤Ë¡¢¤¢¤ë¼«Á³¿ô¤ò¼«Á³¿ô¤ÎϤÇɽ¤¹¤³¤È¤ò
¡¡Ê¬³ä¤È¸Æ¤Ó¡¢É½¤·Êý¤Î¿ô¤òʬ³ä¿ô¤È¸Æ¤Ö¡£
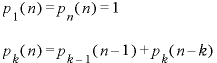
¡¡£î¤Îʬ³ä¿ô¤ò£ð¡Ê£î¡Ë¤Çɽ¤¹¡£
¡¡Î㤨¤Ð¡¢£ð¡Ê£µ¡Ë¡á£·¤Ç¤¢¤ë¡£
¡¡¤³¤Î»þ¡¢£ð¡Ê£î¡Ë¤Ï¤É¤Î¤è¤¦¤Ëɽ¤µ¤ì¤ë¤«¡©
-----------------------------------------------------------------------
¡Ä¤³¤ì¡¢¥Û¥ó¥È¤Ë̤²ò·è¤Ê¤ó¤Ç¤¹¤«¤Í¡©¡°¡°¡¨
ºÇ¶á¿ô³Ø¥ª¥ê¥ó¥Ô¥Ã¥¯Í½ÁªÌäÂê¤Ç¤¿¤¯¤µ¤ó¤ÎÁȤ߹ç¤ï¤»ÌäÂê¤ò²ò¤¤¤Æ¤¿¤Î¤Ç¡¢ÌäÂê¤ò¸«¤Æ¡Ø²ò¤±¤ë¤ó¤¸¤ã¤Í¡©¡Ù¤Ã¤Æ»×¤¤Î©¤Á¡¢¤¹¤°¤Ë²ò¤¤¤Æ¤ß¤Þ¤·¤¿¡£
£î¤ò¤¤¤¯¤Ä¤Ëʬ³ä¤¹¤ë¤«¤Ç¾ì¹çʬ¤±¤¹¤ë¤È¡¢°Ê²¼¤Î¼°¤¬À®¤êΩ¤Á¤Þ¤¹¡£

¤³¤ì¤Ï¤Þ¤¡¼«ÌÀ¤À¤È»×¤¤¤Þ¤¹¡£¹¹¤Ë¡¢±¦Êդγƹà¤Ë¤Ä¤¤¤Æ¤Ï°Ê²¼¤Î¤è¤¦¤Ë¤Ê¤ë¤³¤È¤¬Æ³¤±¤Þ¤·¤¿¡£¾ÚÌÀ¤Ï¾¯¤·Ä¹¤¯¤Ê¤ë¤Î¤Ç³ä°¦¤·¤Þ¤¹¤¬¡£¡£

¤¿¤À¤·¡¢±¦ÊÕÂèÆó¹à¤Ï¡¢n-k¡ãk ¤Î»þ¤Ï£°¤Ç¤¹¡£
¤³¤ì¤òÍѤ¤¤Æ¡¢Ç¤°Õ¤Î£ð¡Ê£î¡Ë¤Ë¤Ä¤¤¤Æ·×»»¤¹¤ë¤³¤È¤¬¤Ç¤¤Þ¤¹¡£
¡Ä¤È¡¢¤³¤³¤Þ¤Ç¤Ï¤Þ¤¡Íè¤ì¤Æ¡¢Ç¤°Õ¤Î£ð¡Ê£î¡Ë¤Î·×»»¤â¼ÂºÝ¤Ë¤Ç¤¤Þ¤¹¡£¤·¤«¤·¤³¤ÎÁ²²½¼°¡Ê¤È¸À¤¦¤Î¤«¤ï¤«¤ê¤Þ¤»¤ó¤¬¡Ë¤ò²ò¤¤¤Æ£ð¡Ê£î¡Ë¤òexplicit¤Ëɽ¤¹¤Î¤Ï½ÐÍè¤Þ¤»¤ó¤Ç¤·¤¿¡£n-k ¤Ã¤Æ¤¤¤¦¤Î¤ò¤É¤¦°·¤Ã¤ÆÎɤ¤¤«¤ï¤«¤é¤º¡£¡£¶²¤é¤¯¤³¤ÎÉôʬ¤¬Ì¤²ò·è¤Ê¤ó¤Ç¤·¤ç¤¦¤Í¡£
¿§¡¹¸¡º÷¤·¤Æ¤ß¤¿¤é¡¢¤À¤¤¤¿¤¤¤Î¥µ¥¤¥È¤Î´ÉÍý¿Í¤ÎÊý¤¬»ä¤ÎƳ¤¤¤¿¤È¤³¤í¤Þ¤Ç¤ÏƳ¤¤¤Æ¤¤¤ë¤è¤¦¤Ç¤·¤¿¡°¡°¡¨¾å¤Î¼°¤ò»È¤Ã¤ÆExcel¤Ê¤É¤Ç£ð¡Ê£î¡Ë¤ò·×»»¤µ¤»¤Æ¤¤¤ë¤È¤³¤í¤â¤¢¤Ã¤ÆÌÌÇò¤«¤Ã¤¿¤Ç¤¹¤¬¡¢¤ä¤Ï¤ê¤³¤ÎÁ²²½¼°¤ò²ò¤¯¤Ë»ê¤Ã¤Æ¤¤¤ë¥µ¥¤¥È¤Ï¸«Åö¤¿¤ê¤Þ¤»¤ó¤Ç¤·¤¿¡£
¤È¤¤¤¦¤³¤È¤Ç¡¢¾å¤ÎÁ²²½¼°¤ò²ò¤¡¢£ð¡Ê£î¡Ë¤Î¸ø¼°¤òƳ¤±¤¿Êý¤Ï¡¢¿ô³Ø»ï¤Ê¤É¤ËÅê¹Æ¤¹¤ì¤ÐÍ̾¿Í¤Ë¤Ê¤ì¤Þ¤¹¤è¡ù
¤è¤í¤·¤±¤ì¤Ð¥ï¥ó¥¯¥ê¥Ã¥¯¤ª´ê¤¤¤·¤Þ¤¹¡°¡°¢ª¿Íµ¤¥Ö¥í¥°¥é¥ó¥¥ó¥°
ʬ³äÌäÂê------------------------------------------------------------
¡¡¡Ö£µ¡×¤ò¼«Á³¿ô¤ÎϤÇɽ¤¹¤³¤È¤ò¹Í¤¨¤ë¤È¡¢
¡¡¡¡¡¡£µ¡á£±¡Ü£±¡Ü£±¡Ü£±¡Ü£±
¡¡¡¡¡¡£µ¡á£²¡Ü£²¡Ü£±
¡¡¡¡¡¡£µ¡á£²¡Ü£±¡Ü£±¡Ü£±
¡¡¡¡¡¡£µ¡á£³¡Ü£²
¡¡¡¡¡¡£µ¡á£³¡Ü£±¡Ü£±
¡¡¡¡¡¡£µ¡á£´¡Ü£±
¡¡¡¡¡¡£µ¡á£µ
¡¡¤Î¡¢£·Ä̤ꤢ¤ê¤Þ¤¹¡£
¡¡¡ÊÏÂ¤Î½ç½ø¤Ï¹Íθ¤·¤Ê¤¤¤³¤È¤È¤·¤Þ¤¹¡Ë
¡¡¤³¤Î¤è¤¦¤Ë¡¢¤¢¤ë¼«Á³¿ô¤ò¼«Á³¿ô¤ÎϤÇɽ¤¹¤³¤È¤ò
¡¡Ê¬³ä¤È¸Æ¤Ó¡¢É½¤·Êý¤Î¿ô¤òʬ³ä¿ô¤È¸Æ¤Ö¡£
¡¡£î¤Îʬ³ä¿ô¤ò£ð¡Ê£î¡Ë¤Çɽ¤¹¡£
¡¡Î㤨¤Ð¡¢£ð¡Ê£µ¡Ë¡á£·¤Ç¤¢¤ë¡£
¡¡¤³¤Î»þ¡¢£ð¡Ê£î¡Ë¤Ï¤É¤Î¤è¤¦¤Ëɽ¤µ¤ì¤ë¤«¡©
-----------------------------------------------------------------------
¡Ä¤³¤ì¡¢¥Û¥ó¥È¤Ë̤²ò·è¤Ê¤ó¤Ç¤¹¤«¤Í¡©¡°¡°¡¨
ºÇ¶á¿ô³Ø¥ª¥ê¥ó¥Ô¥Ã¥¯Í½ÁªÌäÂê¤Ç¤¿¤¯¤µ¤ó¤ÎÁȤ߹ç¤ï¤»ÌäÂê¤ò²ò¤¤¤Æ¤¿¤Î¤Ç¡¢ÌäÂê¤ò¸«¤Æ¡Ø²ò¤±¤ë¤ó¤¸¤ã¤Í¡©¡Ù¤Ã¤Æ»×¤¤Î©¤Á¡¢¤¹¤°¤Ë²ò¤¤¤Æ¤ß¤Þ¤·¤¿¡£
£î¤ò¤¤¤¯¤Ä¤Ëʬ³ä¤¹¤ë¤«¤Ç¾ì¹çʬ¤±¤¹¤ë¤È¡¢°Ê²¼¤Î¼°¤¬À®¤êΩ¤Á¤Þ¤¹¡£

¤³¤ì¤Ï¤Þ¤¡¼«ÌÀ¤À¤È»×¤¤¤Þ¤¹¡£¹¹¤Ë¡¢±¦Êդγƹà¤Ë¤Ä¤¤¤Æ¤Ï°Ê²¼¤Î¤è¤¦¤Ë¤Ê¤ë¤³¤È¤¬Æ³¤±¤Þ¤·¤¿¡£¾ÚÌÀ¤Ï¾¯¤·Ä¹¤¯¤Ê¤ë¤Î¤Ç³ä°¦¤·¤Þ¤¹¤¬¡£¡£

¤¿¤À¤·¡¢±¦ÊÕÂèÆó¹à¤Ï¡¢n-k¡ãk ¤Î»þ¤Ï£°¤Ç¤¹¡£
¤³¤ì¤òÍѤ¤¤Æ¡¢Ç¤°Õ¤Î£ð¡Ê£î¡Ë¤Ë¤Ä¤¤¤Æ·×»»¤¹¤ë¤³¤È¤¬¤Ç¤¤Þ¤¹¡£
¡Ä¤È¡¢¤³¤³¤Þ¤Ç¤Ï¤Þ¤¡Íè¤ì¤Æ¡¢Ç¤°Õ¤Î£ð¡Ê£î¡Ë¤Î·×»»¤â¼ÂºÝ¤Ë¤Ç¤¤Þ¤¹¡£¤·¤«¤·¤³¤ÎÁ²²½¼°¡Ê¤È¸À¤¦¤Î¤«¤ï¤«¤ê¤Þ¤»¤ó¤¬¡Ë¤ò²ò¤¤¤Æ£ð¡Ê£î¡Ë¤òexplicit¤Ëɽ¤¹¤Î¤Ï½ÐÍè¤Þ¤»¤ó¤Ç¤·¤¿¡£n-k ¤Ã¤Æ¤¤¤¦¤Î¤ò¤É¤¦°·¤Ã¤ÆÎɤ¤¤«¤ï¤«¤é¤º¡£¡£¶²¤é¤¯¤³¤ÎÉôʬ¤¬Ì¤²ò·è¤Ê¤ó¤Ç¤·¤ç¤¦¤Í¡£
¿§¡¹¸¡º÷¤·¤Æ¤ß¤¿¤é¡¢¤À¤¤¤¿¤¤¤Î¥µ¥¤¥È¤Î´ÉÍý¿Í¤ÎÊý¤¬»ä¤ÎƳ¤¤¤¿¤È¤³¤í¤Þ¤Ç¤ÏƳ¤¤¤Æ¤¤¤ë¤è¤¦¤Ç¤·¤¿¡°¡°¡¨¾å¤Î¼°¤ò»È¤Ã¤ÆExcel¤Ê¤É¤Ç£ð¡Ê£î¡Ë¤ò·×»»¤µ¤»¤Æ¤¤¤ë¤È¤³¤í¤â¤¢¤Ã¤ÆÌÌÇò¤«¤Ã¤¿¤Ç¤¹¤¬¡¢¤ä¤Ï¤ê¤³¤ÎÁ²²½¼°¤ò²ò¤¯¤Ë»ê¤Ã¤Æ¤¤¤ë¥µ¥¤¥È¤Ï¸«Åö¤¿¤ê¤Þ¤»¤ó¤Ç¤·¤¿¡£
¤È¤¤¤¦¤³¤È¤Ç¡¢¾å¤ÎÁ²²½¼°¤ò²ò¤¡¢£ð¡Ê£î¡Ë¤Î¸ø¼°¤òƳ¤±¤¿Êý¤Ï¡¢¿ô³Ø»ï¤Ê¤É¤ËÅê¹Æ¤¹¤ì¤ÐÍ̾¿Í¤Ë¤Ê¤ì¤Þ¤¹¤è¡ù
¤è¤í¤·¤±¤ì¤Ð¥ï¥ó¥¯¥ê¥Ã¥¯¤ª´ê¤¤¤·¤Þ¤¹¡°¡°¢ª¿Íµ¤¥Ö¥í¥°¥é¥ó¥¥ó¥°

ÁȤ߹ç¤ï¤»¿ô³Ø¤Ë¶½Ì£¤ò»ý¤Ã¤¿¤è¤¦¤Ç¤¹¤Í¡£
À°¿ô¤Îʬ³äÌäÂê¤Ï´Êñ¤½¤¦¤Ç¼Â¤ÏÈó¾ï¤Ë±ü¤¬¿¼¤¤¤Ç¤¹¡£
¼ÂºÝ¤ÎÃÍ(¤É¤ì¤À¤±¤Î¸Ä¿ô¤¬¤¢¤ë¤«)¤òµá¤á¤ë¤³¤È¤â½ÅÍפǤ¹¤¬¡¢ºÇ¶á¤Ç¤Ï¡¢¤½¤Îʬ³ä¤òÈó¾ï¤Ë¹â®¤Ëµá¤á¤ë(¿ô¤Ç¤Ï¤Ê¤¯¡¢¶ñÂÎŪ¤Ë1¤Ä1¤Ä¤¬¤É¤ó¤Ê·Á¤ò¤·¤Æ¤¤¤ë¤«)¤è¤¦¤Ê¸¦µæ¤â¹Ô¤ï¤ì¤Æ¤¤¤Þ¤¹¡£
Á²²½¼°¤ò²ò¤¤¤Æµá¤á¤ë¤È¤¤¤¦ÊýË¡¤â¤¢¤ê¤Þ¤¹¤¬¡¢
Êì´Ø¿ô¤È¤¤¤¦³µÇ°¤ò»È¤Ã¤Æµá¤á¤ëÊýË¡¤â¤¢¤ê¤Þ¤¹¡£
Êì´Ø¿ô¤ò»È¤¦¤È(̵¸Â¸Ä¤ÎϤǤ¹¤¬)Èó¾ï¤Ë¤¹¤Ã¤¤ê½ñ¤±¤Þ¤¹¡£
̵¸Â¸Ä¤Ê¤Î¤Çexplicit¤È¸Æ¤Ö¤³¤È¤Ï¤Ç¤¤Ê¤¤¤Ç¤·¤ç¤¦¤Í¡£
¤³¤ÎÌäÂê¤Î»²¹Íʸ¸¥¤È¤·¤ÆÆüËܸì¤Î¤â¤Î¤ò¡§
¡ÖÁȤ߹ç¤ï¤»¿ô³ØÆþÌç¡×C.L.¥ê¥¦Ãø¡¢°ËÍýÀµÉס¢°ËÍýͳÈþ¶¦Ìõ¡¢¶¦Î©Á´½ñ ¤Î2.5Àá
±Ñ¸ì¤Î¤Ç¤ÏÄêÈÖ¡¢KnuthËܤ³¤ÈThe art of computer programming¤ÎVol.4, Fascicle 3¡¢7.2.1.4Àᤢ¤¿¤ê¡£