チェビシェフ多項式
2008年02月23日
慶応医学部的中
2月21日に,慶應義塾大学医学部の第一次試験(筆記)がありました。
問題は4問で,第4問が次のようなものでした。
2008年度 慶應義塾大学医学部入学試験 数学第4問
まさに的中。
このブログの「チェビシェフ多項式」第3回の記事までの内容にほぼ完全に含まれています。
この連載を読んでいた受験生にはかなり有利だったことは間違いありません。
よろしければクリックお願いします。
人気blogランキングへ
問題は4問で,第4問が次のようなものでした。
2008年度 慶應義塾大学医学部入学試験 数学第4問
まさに的中。
このブログの「チェビシェフ多項式」第3回の記事までの内容にほぼ完全に含まれています。
この連載を読んでいた受験生にはかなり有利だったことは間違いありません。
よろしければクリックお願いします。
人気blogランキングへ
2008年02月03日
チェビシェフ多項式7
【問題4】は,以前の記事でも紹介したように,【応用14】を用いて簡単に解決します。
ただ,【応用14】とは全く独立に示すことが出来ます。
少々長くなるので,別ファイルにしてリンクを貼っておきます。
tan(有理数*π)で有理数になるもの
それでは,本編です。【問題4】は【応用14】を用いた簡単な方法で証明しています。

よろしければクリックお願いします。
人気blogランキングへ
ただ,【応用14】とは全く独立に示すことが出来ます。
少々長くなるので,別ファイルにしてリンクを貼っておきます。
tan(有理数*π)で有理数になるもの
それでは,本編です。【問題4】は【応用14】を用いた簡単な方法で証明しています。

よろしければクリックお願いします。
人気blogランキングへ
2008年01月17日
2007年09月23日
2007年09月15日
チェビシェフ多項式3
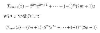
今回は,チェビシェフ多項式の導関数の根について考えてみます。

の両辺をθで微分して -1 をかけることにより

を得ます。
これを使うと,以下のようにしてチェビシェフ多項式の導関数の根が全て分かります。

従って,

となります。
小さい n で実験してみましょう。

確かに成り立っています。
以下,n を奇数として n = 2m+1 とします。
ここで,前回も使った以下のことを再度用います。

これから,

よって,根と係数の関係から以下を得ます。(2) は,(1) の積において,始めの m 個と後の m 個は符号が違うだけで絶対値は等しいということを考えると分かります。

(2) の m = 4, 5 の場合を書き出すと以下のようになります。

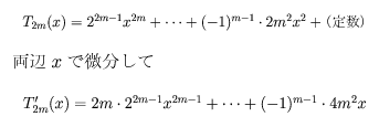
次に,n を偶数として n = 2m とします。

したがって,

これを使って,偶数次のチェビシェフ多項式の導関数の根のうち 0 を除くものの積が計算でき,それから cos に関する新しい性質が導かれます。


よって,以下のことが得られました。

m = 3, 4, 5 の場合を書き出すと以下のようになります。

よろしければクリックお願いします。
人気blogランキングへ

の両辺をθで微分して -1 をかけることにより

を得ます。
これを使うと,以下のようにしてチェビシェフ多項式の導関数の根が全て分かります。

従って,

となります。
小さい n で実験してみましょう。

確かに成り立っています。
以下,n を奇数として n = 2m+1 とします。
ここで,前回も使った以下のことを再度用います。

これから,

よって,根と係数の関係から以下を得ます。(2) は,(1) の積において,始めの m 個と後の m 個は符号が違うだけで絶対値は等しいということを考えると分かります。

(2) の m = 4, 5 の場合を書き出すと以下のようになります。

次に,n を偶数として n = 2m とします。

したがって,

これを使って,偶数次のチェビシェフ多項式の導関数の根のうち 0 を除くものの積が計算でき,それから cos に関する新しい性質が導かれます。


よって,以下のことが得られました。

m = 3, 4, 5 の場合を書き出すと以下のようになります。

よろしければクリックお願いします。
人気blogランキングへ
2007年09月02日
チェビシェフ多項式2
今回はチェビシェフ多項式の根,つまり「(チェビシェフ多項式)=0」という方程式の解についてお話しします。
「根(こん)」という言葉は最近は使われないですが,便利な言葉なのでここで定義しておきます。
多項式 f(x) に対して,方程式 f(x) = 0 の解のことを,多項式 f(x) の根と言います。
(根を解と同じ意味で使っている文献も多いですが,ここではこのように定義することにします。)
「根」は多項式に対する用語であり,「解」は方程式に対する用語であることに注意して下さい。
また,多項式 f(x)のある根が,方程式 f(x) = 0 の重解でないとき,その根は f(x) の「単根」であると言います。
さて,前回の

を使って,以下のようにしてチェビシェフ多項式の根が全て分かります。

従って,

となります。
小さい n で実験してみましょう。

確かに成り立っています。
さて,ここで次のことを思い出して下さい。

これをチェビシェフ多項式に対して適用してみます。
ただ,n が奇数のときはチェビシェフ多項式には定数項がありません。
同じことですが,このときチェビシェフ多項式の根に 0 が含まれます。
従って,全ての解の積を考えるのは,n が奇数のときには面白くありません。
したがって,まずは n が偶数の場合を考えることにし,n=2m とおきます。
前回の【性質4】で,チェビシェフ多項式の最高次係数と定数項を求めました。
n=2m のときは以下のようになります。

従って,根と係数の関係によって n が偶数のときのチェビシェフ多項式の根の積を計算することにより,以下の (1) を得ます。(2) は,(1) の積において,始めの m 個と後の m 個は符号が違うだけで絶対値は等しいということを考えると分かります。

(2) の m = 3, 4, 5 の場合を書き出すと以下のようになります。

さて,n が奇数のときは根に 0 が入っていたので先ほどは考えませんでしたが,0 を除いたものの積は求まります。n = 2m+1 のとき,【性質4】は以下のようになります。

これを使って,奇数次のチェビシェフ多項式の根のうち 0 を除くものの積が計算でき,それから cos に関する新しい性質が導かれます。


よって,以下のことが得られました。

m = 3,4,5 のときを書き出すと以下のようになります。

次回は,チェビシェフ多項式の導関数の根について調べます。
よろしければクリックお願いします。
人気blogランキングへ
「根(こん)」という言葉は最近は使われないですが,便利な言葉なのでここで定義しておきます。
多項式 f(x) に対して,方程式 f(x) = 0 の解のことを,多項式 f(x) の根と言います。
(根を解と同じ意味で使っている文献も多いですが,ここではこのように定義することにします。)
「根」は多項式に対する用語であり,「解」は方程式に対する用語であることに注意して下さい。
また,多項式 f(x)のある根が,方程式 f(x) = 0 の重解でないとき,その根は f(x) の「単根」であると言います。
さて,前回の

を使って,以下のようにしてチェビシェフ多項式の根が全て分かります。

従って,

となります。
小さい n で実験してみましょう。

確かに成り立っています。
さて,ここで次のことを思い出して下さい。

これをチェビシェフ多項式に対して適用してみます。
ただ,n が奇数のときはチェビシェフ多項式には定数項がありません。
同じことですが,このときチェビシェフ多項式の根に 0 が含まれます。
従って,全ての解の積を考えるのは,n が奇数のときには面白くありません。
したがって,まずは n が偶数の場合を考えることにし,n=2m とおきます。
前回の【性質4】で,チェビシェフ多項式の最高次係数と定数項を求めました。
n=2m のときは以下のようになります。

従って,根と係数の関係によって n が偶数のときのチェビシェフ多項式の根の積を計算することにより,以下の (1) を得ます。(2) は,(1) の積において,始めの m 個と後の m 個は符号が違うだけで絶対値は等しいということを考えると分かります。

(2) の m = 3, 4, 5 の場合を書き出すと以下のようになります。

さて,n が奇数のときは根に 0 が入っていたので先ほどは考えませんでしたが,0 を除いたものの積は求まります。n = 2m+1 のとき,【性質4】は以下のようになります。

これを使って,奇数次のチェビシェフ多項式の根のうち 0 を除くものの積が計算でき,それから cos に関する新しい性質が導かれます。


よって,以下のことが得られました。

m = 3,4,5 のときを書き出すと以下のようになります。

次回は,チェビシェフ多項式の導関数の根について調べます。
よろしければクリックお願いします。
人気blogランキングへ
2007年08月24日
チェビシェフ多項式1
今回から,以前からやってみたかったチェビシェフ多項式についての連載を始めたいと思います。
チェビシェフ多項式はロシアの数学者チェビシェフ(1821〜1894)が発見したもので,非常に多くの応用があるとても重要な多項式で,大学入試でもしばしば出題されます。
記念すべき第一回の今回は,チェビシェフ多項式の定義をして,定義からすぐに導かれる簡単な性質をいくつか紹介します。
-------------------------------------------------------------
cosの倍角公式,3倍角公式はよく知られています。
これらは加法定理を用いて導かれますが,加法定理をさらに何度も繰り返し用いると,cosの4倍角の公式,5倍角の公式・・・も導かれます。

これらから,任意の自然数nに対して,cosnθはcosθのn次多項式で表されることが予想されます。
実際,そのことは以下の【性質2】を用いて数学的帰納法により示されます。
ここに現れる多項式が,チェビシェフ多項式と呼ばれるものです。
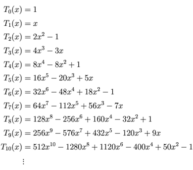
各次数に対して1つずつ存在し,n次のチェビシェフ多項式をTn(x)と表します。
次数が0や1のときも考えると,以下のようになります。

これらの多項式から,壮大な理論体系が始まります。
是非,はじめの5つ程度は覚えて下さい。
ここから,チェビシェフ多項式の性質を見ていきましょう。
まず,定義そのものですが,以下のことが成り立ちます。

nについては,何も書かなければ0以上の整数を表すこととします。
さて,cosの和積の公式から,次のことが成り立つことに注意します。

この式から,チェビシェフ多項式の存在がきちんと示されます。
cosnθとcos (n+1)θがそれぞれcosθのn次式,(n+1)次式で表されると仮定すると,cos (n+2)θがcosθの(n+2)次式で表されることが分かるので,あとは数学的帰納法を使うだけです。
そしてこの式から,チェビシェフ多項式に関する3項間の漸化式が得られます。

(厳密には,まずはこの式のxがcosθと表される場合,つまり−1≦x≦1の場合が示され,その後で,両辺多項式なので全ての実数xに対して成立することが分かる,という流れになります。)
また,上の画像の10次までのチェビシェフ多項式を眺めていると,実に色々な性質があることに気づきます。
まずは,n次のチェビシェフ多項式は,nが偶数のときはxの偶数次の項しかなく,またnが奇数のときにはxの奇数次の項しかありません。
このことから,以下のことが予想され,実際,チェビシェフ多項式が満たす3項間漸化式(【性質2】)を使って数学的帰納法により容易に証明されます。

また,係数についてもいろいろ分かりますが,一部だけを挙げておくと,

が成り立ちます。これも【性質3】と同様にして示されます。
また,全係数の和が1であることにも気づきます。
これは,チェビシェフ多項式にx=1を代入すると1になるということに他なりません。

これは【性質1】にθ=0を代入すれば得られますし,もちろん【性質3】や【性質4】と同様,【性質2】を使って数学的帰納法で示すこともできます。
今回はここまでにします。
次回は,チェビシェフ多項式の根(T_n(x)=0の解)を扱います。
よろしければクリックお願いします。
人気blogランキングへ
チェビシェフ多項式はロシアの数学者チェビシェフ(1821〜1894)が発見したもので,非常に多くの応用があるとても重要な多項式で,大学入試でもしばしば出題されます。
記念すべき第一回の今回は,チェビシェフ多項式の定義をして,定義からすぐに導かれる簡単な性質をいくつか紹介します。
-------------------------------------------------------------
cosの倍角公式,3倍角公式はよく知られています。
これらは加法定理を用いて導かれますが,加法定理をさらに何度も繰り返し用いると,cosの4倍角の公式,5倍角の公式・・・も導かれます。

これらから,任意の自然数nに対して,cosnθはcosθのn次多項式で表されることが予想されます。
実際,そのことは以下の【性質2】を用いて数学的帰納法により示されます。
ここに現れる多項式が,チェビシェフ多項式と呼ばれるものです。
各次数に対して1つずつ存在し,n次のチェビシェフ多項式をTn(x)と表します。
次数が0や1のときも考えると,以下のようになります。

これらの多項式から,壮大な理論体系が始まります。
是非,はじめの5つ程度は覚えて下さい。
ここから,チェビシェフ多項式の性質を見ていきましょう。
まず,定義そのものですが,以下のことが成り立ちます。

nについては,何も書かなければ0以上の整数を表すこととします。
さて,cosの和積の公式から,次のことが成り立つことに注意します。
この式から,チェビシェフ多項式の存在がきちんと示されます。
cosnθとcos (n+1)θがそれぞれcosθのn次式,(n+1)次式で表されると仮定すると,cos (n+2)θがcosθの(n+2)次式で表されることが分かるので,あとは数学的帰納法を使うだけです。
そしてこの式から,チェビシェフ多項式に関する3項間の漸化式が得られます。

(厳密には,まずはこの式のxがcosθと表される場合,つまり−1≦x≦1の場合が示され,その後で,両辺多項式なので全ての実数xに対して成立することが分かる,という流れになります。)
また,上の画像の10次までのチェビシェフ多項式を眺めていると,実に色々な性質があることに気づきます。
まずは,n次のチェビシェフ多項式は,nが偶数のときはxの偶数次の項しかなく,またnが奇数のときにはxの奇数次の項しかありません。
このことから,以下のことが予想され,実際,チェビシェフ多項式が満たす3項間漸化式(【性質2】)を使って数学的帰納法により容易に証明されます。

また,係数についてもいろいろ分かりますが,一部だけを挙げておくと,

が成り立ちます。これも【性質3】と同様にして示されます。
また,全係数の和が1であることにも気づきます。
これは,チェビシェフ多項式にx=1を代入すると1になるということに他なりません。

これは【性質1】にθ=0を代入すれば得られますし,もちろん【性質3】や【性質4】と同様,【性質2】を使って数学的帰納法で示すこともできます。
今回はここまでにします。
次回は,チェビシェフ多項式の根(T_n(x)=0の解)を扱います。
よろしければクリックお願いします。
人気blogランキングへ










