ご覧頂いているブログは番外編です。
本編はこちら。
・・・
★前置き
死んだら「無」になってしまうんだろうか。それとも「何か」が残るんだろうか。
そもそも「無」とは何だろう。
とりあえず「無」を定義すれば、「何も無い状態」という、ある種の理想状態(?)を指すことは間違いなさそうだ。
だが、正真正銘の「無」なんていうモノはあり得ないのも事実だ。「真空や無、あるいは0(ゼロ)、何も無い」という状態は、物理的にあり得ないのだ。
アインシュタインの「一般相対性理論」とともに、20世紀以降の物理学を牽引してきた「量子論」。
この「量子論」によれば、「真空や無、あるいは0、何も無い」という状態は、決して許されないのだ。
・・・
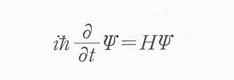
下の図は、エルヴィン・シュレーディンガー(オーストリアの理論物理学者)が作った「シュレーディンガー方程式」である。

iは虚数単位、ℏはプランク定数hを円周率(π)の2倍で割ったもの
Hはハミルトン演算子、tは時間、ψは波動関数
このシュレーディンガー方程式を解くと、物質がどんな形の「波」であり、その「波」が時間に依存してどのように伝播していくのかを計算することができる。
シュレーディンガー方程式は、「量子力学」の基本である。
また、シュレーディンガーの理論は「波動力学」と名づけられ、量子力学の基礎をなす理論と位置付けられている。
ちなみに、実数と虚数とを組み合わせた数字を「複素数」ということは、高校生の時に習ったはずだ。虚数は「想像上の数字(imaginary number)」であり、それを含む複素数も「想像上の数字」だ。
上記の図のとおり、シュレーディンガー方程式は複素数を含んでいる。したがって、波動関数ψ、すなわち「物質波」は「複素数の波」なのだ。
ルイ・ド・ブロイ(フランスの理論物理学者)が言うとおり、すべての物質が「波」である…としても、その「波」は「複素数の波」だというのだ。だが、複素数は「想像上の数字」だ。だとすれば、「物質波」は「想像上の波」であり、実際には存在しないということなのだろうか。
だが、それはあり得ない。「電子」は確かに存在しているのだ。それを「波」と考えた場合に、「電子」が「想像上のもの」になってしまうなんてあり得ない。もちろんシュレーディンガー方程式がデタラメならば話は別だ。しかし、この方程式を用いれば、水素原子の中の「電子」のエネルギーが、ニールス・ボーア(デンマークの理論物理学者)の示した「量子条件」のとおりに「とびとび」の値を取ることも証明できるのだ。
したがって、複素数の「波」である波動関数ψは、実在する「何物か」を表しているはずなのだ。
シュレーディンガー自身も、波動関数ψは実在の「波」であると考えていた。また、多くの物理学者たちは、複素数の「波」の正体を明らかにしようとして様々な仮説を立てた。だが、どうしても「物質波」の正体は分からなかったらしい。
そりゃあそうだろう。「想像上の数字」である複素数で表される「波」が「実在する」と言われても、分かります!と言える人はいないだろう。スティーブン・ホーキング(イギリスの理論物理学者)が一時期提唱していた「虚数時間で始まる宇宙」と同じくらい分からない。
だが、複素数の「波」は確かに存在しているのだ。「電子」に限らず、あらゆる物質は「波」なのだ。
だとしても、その「波」を言葉で表現するのは不可能だ。また、イメージしたり、図示したりすることも難しい。あえて図示すれば、こんな感じだろうか…

(続く)

↑ いつもありがとうございます。ポチっとクリックお願いします。
本編はこちら。
・・・
★前置き
死んだら「無」になってしまうんだろうか。それとも「何か」が残るんだろうか。
そもそも「無」とは何だろう。
とりあえず「無」を定義すれば、「何も無い状態」という、ある種の理想状態(?)を指すことは間違いなさそうだ。
だが、正真正銘の「無」なんていうモノはあり得ないのも事実だ。「真空や無、あるいは0(ゼロ)、何も無い」という状態は、物理的にあり得ないのだ。
アインシュタインの「一般相対性理論」とともに、20世紀以降の物理学を牽引してきた「量子論」。
この「量子論」によれば、「真空や無、あるいは0、何も無い」という状態は、決して許されないのだ。
・・・
下の図は、エルヴィン・シュレーディンガー(オーストリアの理論物理学者)が作った「シュレーディンガー方程式」である。

iは虚数単位、ℏはプランク定数hを円周率(π)の2倍で割ったもの
Hはハミルトン演算子、tは時間、ψは波動関数
このシュレーディンガー方程式を解くと、物質がどんな形の「波」であり、その「波」が時間に依存してどのように伝播していくのかを計算することができる。
シュレーディンガー方程式は、「量子力学」の基本である。
また、シュレーディンガーの理論は「波動力学」と名づけられ、量子力学の基礎をなす理論と位置付けられている。
ちなみに、実数と虚数とを組み合わせた数字を「複素数」ということは、高校生の時に習ったはずだ。虚数は「想像上の数字(imaginary number)」であり、それを含む複素数も「想像上の数字」だ。
上記の図のとおり、シュレーディンガー方程式は複素数を含んでいる。したがって、波動関数ψ、すなわち「物質波」は「複素数の波」なのだ。
ルイ・ド・ブロイ(フランスの理論物理学者)が言うとおり、すべての物質が「波」である…としても、その「波」は「複素数の波」だというのだ。だが、複素数は「想像上の数字」だ。だとすれば、「物質波」は「想像上の波」であり、実際には存在しないということなのだろうか。
だが、それはあり得ない。「電子」は確かに存在しているのだ。それを「波」と考えた場合に、「電子」が「想像上のもの」になってしまうなんてあり得ない。もちろんシュレーディンガー方程式がデタラメならば話は別だ。しかし、この方程式を用いれば、水素原子の中の「電子」のエネルギーが、ニールス・ボーア(デンマークの理論物理学者)の示した「量子条件」のとおりに「とびとび」の値を取ることも証明できるのだ。
したがって、複素数の「波」である波動関数ψは、実在する「何物か」を表しているはずなのだ。
シュレーディンガー自身も、波動関数ψは実在の「波」であると考えていた。また、多くの物理学者たちは、複素数の「波」の正体を明らかにしようとして様々な仮説を立てた。だが、どうしても「物質波」の正体は分からなかったらしい。
そりゃあそうだろう。「想像上の数字」である複素数で表される「波」が「実在する」と言われても、分かります!と言える人はいないだろう。スティーブン・ホーキング(イギリスの理論物理学者)が一時期提唱していた「虚数時間で始まる宇宙」と同じくらい分からない。
だが、複素数の「波」は確かに存在しているのだ。「電子」に限らず、あらゆる物質は「波」なのだ。
だとしても、その「波」を言葉で表現するのは不可能だ。また、イメージしたり、図示したりすることも難しい。あえて図示すれば、こんな感じだろうか…

(続く)
↑ いつもありがとうございます。ポチっとクリックお願いします。

コメント